• لیست دوره های آموزشی
  • رزومه تیم الکترو ولت
به وبسایت تخصصی الکترو ولت خوش آمدید|
  • حساب کاربری من
  • ورود
  • ثبت نام
الکترو ولتالکترو ولتالکترو ولتالکترو ولت
  • درباره ما
  • تماس با ما
  • قوانین و مقررات
  • ثبت سفارش پروژه
  • 09109246293
جستجو
00
  • خانه
  • فروشگاه
  • اخبار
    • اخبار تکنولوژی الکترونیک
    • اخبار و آموزش های وبسایت
  • کتاب ها
    • کتاب های کاربردی الکترونیک
      • کتاب های Altium
      • کتاب های Embedded
      • کتاب های Robotics
      • کتاب های ARM
      • کتاب های FPGA
      • کتاب های VHDL
      • کتاب های AVR
      • کتاب های PIC
      • کتاب های Arduino
      • کتاب های BeagleBone
      • کتاب های Raspberry pi
      • کتاب های Python
      • کتاب های Linux
      • کتاب های Open CV
      • کتاب های IOT
      • کتاب های بلاکچین
      • کتاب های هوش مصنوعی
      • کتاب های Big Data
      • کتاب های Machine Learning
      • دیگر کتاب های کاربردی
    • کتاب های دروس پایه
      • ریاضی و فیزیک عمومی
      • معادلات دیفرانسیل
      • برنامه نویسی C
      • آمار و احتمالات
      • ریاضی مهندسی
    • کتاب های دروس اصلی
      • الکترونیک
      • مدارهای اکتریکی
      • مدارهای منطقی
      • سیگنال ها و سیستم ها
      • ماشین های الکتریکی
      • بررسی سیستمهای قدرت
      • سیستم های مخابراتی
      • سیستم های کنترل خطی
    • کتاب های دروس تخصصی
      • فیزیک مدرن و فیزیک الکترونیک
      • تکنیک پالس
      • معماری کامپیوتر
      • فیلتر و سنتز
      • مدارهای مخابراتی
    • کتاب های دروس اختیاری
      • الکترونیک صنعتی
      • کنترل دیجیتال
    • کتاب های دروس ارشد
      • پردازش سیگنال دیجیتال
      • تکنولوژی ساخت ادوات
      • طراحی منابع تغذیه سوئیچینگ
      • مدارهای RF
      • VLSI
  • مقالات
    • مباحث پایه ای الکترونیک
    • برنامه نویسی
    • الکترونیک آنالوگ
    • الکترونیک دیجیتال
    • الکترونیک صنعتی
    • شبکه های کامپیوتری
    • شبکه های صنعتی
    • سیستم های نهفته
    • ایمنی عملکرد
    • طراحی سخت افزار
    • رمزنگاری
    • مقالات رزبری پای
  • دانلود ها
    • آموزش نرم افزارهای الکترونیک
    • دانلود نرم افزارهای الکترونیک
    • دانلود نرم افزارهای اندروید
    • دانلود مجله های الکترونیک
    • دانلود پروژه های Altium
    • دانلود کتابخانه های Altium
  • پروژه ها
    • پروژه های FPGA
    • پروژه های ARM
    • پروژه های AVR
    • پروژه های رزبری پای
    • پروژه های آردوینو
    • نود میکرو NodeMcu
    • پروژه های طراحی آنالوگ
    • پروژه های طراحی دیجیتال
    • پروژه های نرم افزاری
  • دوره های آموزشی
    • دوره های سخت افزاری
      • EVH0:Basic
      • EVH11:Altium1
      • EVH12:Altium2
      • EVH13:Altium3
      • EVH21:FPGA1
      • EVH22:FPGA2
      • EVH31:Assemble
      • EVH32:Repair
    • دوره های نرم افزاری
      • EVS0:Basic
      • EVS11:C
      • EVS12:CPP
      • EVS13:python
      • EVS21:AVR1
      • EVS22:AVR2
      • EVS31:ARM7
      • EVS32:ARMCM3
      • EVS41:Arduino
      • EVS42: Raspberry Pi
      • EVS51:Matlab1
      • EVS52:Matlab2
  • خانه
  • اصول مهندسی سازگاری الکترومغناطیس و راهنمای اخذ گواهینامه EMC
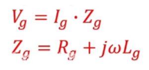
  • signal ground formula

signal ground formula

signal ground formulaادمین الکترو ولت1402-12-29T16:10:08+03:30

نماد ساماندهی

logo-samandehi

نماد اعتماد الکترونیکی

معرفی کوتاه

وبسایت علمی، پژوهشی الکترو ولت مفتخر است که حرفه ای ترین خدمات ، محصولات و آموزش های ویژه علاقه مندان و دانشجویان برق و الکترونیک را ارائه نموده است.
  • موقعیت: تهران
  • پشتیبانی: 09109246293
  • ایمیل: Electro_Volt[at]yahoo.com
© کلیه حقوق مادی و معنوی برای وبسایت الکترو ولت محفوظ است و هرگونه کپی برداری غیرقانونی می باشد.
  • منواصلی
  • منو حساب کاربری
  • خانه
  • فروشگاه
  • اخبار
    • اخبار تکنولوژی الکترونیک
    • اخبار و آموزش های وبسایت
  • کتاب ها
    • کتاب های کاربردی الکترونیک
      • کتاب های Altium
      • کتاب های Embedded
      • کتاب های Robotics
      • کتاب های ARM
      • کتاب های FPGA
      • کتاب های VHDL
      • کتاب های AVR
      • کتاب های PIC
      • کتاب های Arduino
      • کتاب های BeagleBone
      • کتاب های Raspberry pi
      • کتاب های Python
      • کتاب های Linux
      • کتاب های Open CV
      • کتاب های IOT
      • کتاب های بلاکچین
      • کتاب های هوش مصنوعی
      • کتاب های Big Data
      • کتاب های Machine Learning
      • دیگر کتاب های کاربردی
    • کتاب های دروس پایه
      • ریاضی و فیزیک عمومی
      • معادلات دیفرانسیل
      • برنامه نویسی C
      • آمار و احتمالات
      • ریاضی مهندسی
    • کتاب های دروس اصلی
      • الکترونیک
      • مدارهای اکتریکی
      • مدارهای منطقی
      • سیگنال ها و سیستم ها
      • ماشین های الکتریکی
      • بررسی سیستمهای قدرت
      • سیستم های مخابراتی
      • سیستم های کنترل خطی
    • کتاب های دروس تخصصی
      • فیزیک مدرن و فیزیک الکترونیک
      • تکنیک پالس
      • معماری کامپیوتر
      • فیلتر و سنتز
      • مدارهای مخابراتی
    • کتاب های دروس اختیاری
      • الکترونیک صنعتی
      • کنترل دیجیتال
    • کتاب های دروس ارشد
      • پردازش سیگنال دیجیتال
      • تکنولوژی ساخت ادوات
      • طراحی منابع تغذیه سوئیچینگ
      • مدارهای RF
      • VLSI
  • مقالات
    • مباحث پایه ای الکترونیک
    • برنامه نویسی
    • الکترونیک آنالوگ
    • الکترونیک دیجیتال
    • الکترونیک صنعتی
    • شبکه های کامپیوتری
    • شبکه های صنعتی
    • سیستم های نهفته
    • ایمنی عملکرد
    • طراحی سخت افزار
    • رمزنگاری
    • مقالات رزبری پای
  • دانلود ها
    • آموزش نرم افزارهای الکترونیک
    • دانلود نرم افزارهای الکترونیک
    • دانلود نرم افزارهای اندروید
    • دانلود مجله های الکترونیک
    • دانلود پروژه های Altium
    • دانلود کتابخانه های Altium
  • پروژه ها
    • پروژه های FPGA
    • پروژه های ARM
    • پروژه های AVR
    • پروژه های رزبری پای
    • پروژه های آردوینو
    • نود میکرو NodeMcu
    • پروژه های طراحی آنالوگ
    • پروژه های طراحی دیجیتال
    • پروژه های نرم افزاری
  • دوره های آموزشی
    • دوره های سخت افزاری
      • EVH0:Basic
      • EVH11:Altium1
      • EVH12:Altium2
      • EVH13:Altium3
      • EVH21:FPGA1
      • EVH22:FPGA2
      • EVH31:Assemble
      • EVH32:Repair
    • دوره های نرم افزاری
      • EVS0:Basic
      • EVS11:C
      • EVS12:CPP
      • EVS13:python
      • EVS21:AVR1
      • EVS22:AVR2
      • EVS31:ARM7
      • EVS32:ARMCM3
      • EVS41:Arduino
      • EVS42: Raspberry Pi
      • EVS51:Matlab1
      • EVS52:Matlab2
  • حساب کاربری من
  • ورود
  • ثبت نام